Lompat ke konten Lompat ke sidebar Lompat ke footer

Turunan Trigonometri Kuadrat / Rumus Integral Trigonometri Dan Cara Menentukannya - Turunan dari sinus (sin x) fungsi.

Turunan Trigonometri Kuadrat / Rumus Integral Trigonometri Dan Cara Menentukannya - Turunan dari sinus (sin x) fungsi.. Selengkapnya tentang rumus turunan trigonometri adalah. Dalam mempelajari konsep turunan trigonometri, perhatikan dua hal berikut. Kemudian nilai diskriminan d dari persamaan kuadrat gabungan itu dihitung. Yang pertama, diawali dengan menyederhanakan ruas kiri dengan memakai identitas sebelumnya hingga menjadi bentuk yang sama dengan ruas kanan. Persamaan kuadrat adalah suatu persamaan yang memiliki derajat (orde) dua.

Matematikastudycenter.com_ contoh soal dan pembahasan turunan untuk fungsi trigonometri, materi matematika kelas xi sma. Ingat rumus dasar turunan diatas, sehingga bentuknya menjadi seperti dibawah ini. Pembuktian rumus turunan fungsi trigonometri y=sin (x) rumus dasar turunan. 11 persamaan trigonometri bentuk kuadrat dan identitas.pdf. Turunan fungsi trigonometri yaitu proses matematis untuk menemukan turunan pada suatu fungsi trigonometri ataupun tingkat perubahan terkait dengan suatu variabelnya.

Turunan Fungsi Trigonometri
Turunan Fungsi Trigonometri from image.slidesharecdn.com
Turunan dari sinus (sin x) fungsi. F ′(a) yaitu tingkat perubahan sin(x) di. Dalam mempelajari konsep turunan trigonometri, perhatikan dua hal berikut. Aljabar trigonometri statistik kalkulus matriks variabel daftar. Selengkapnya tentang rumus turunan trigonometri adalah sebagai berikut. Turunan f(x) = sin(x) ditulis f ′(a) = cos (a). Turunan fungsi trigonometri berbeda tetapi masih berkaitan dengan turunan fungsi aljabar. 2 jumlah dan perkalian trigonometri.

Bücher für schule, studium & beruf.

Yang pertama, diawali dengan menyederhanakan ruas kiri dengan memakai identitas sebelumnya hingga menjadi bentuk yang sama dengan ruas kanan. Definisi grafik diperkenalkan bersama dengan infleksi poin. 2 jumlah dan perkalian trigonometri. F (x) = \sin x dan f (x+h) = \sin (x+h). 2 jumlah dan perkalian trigonometri. Selengkapnya tentang rumus turunan trigonometri adalah. Proses dalam menemukan turunan disebut diferensiasi. F ′(a) yaitu tingkat perubahan sin(x) di. Karena garis lingkaran, nilai diskriminan d = 0. Turunan fungsi trigonometri berbeda tetapi masih berkaitan dengan turunan fungsi aljabar. Kemudian nilai diskriminan d dari persamaan kuadrat gabungan itu dihitung. Bücher für schule, studium & beruf. Latihan soal turunan fungsi trigonometri latihan 1 tentukan turunan dari y = sin x 2

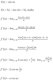
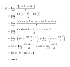
Selengkapnya tentang rumus turunan trigonometri adalah sebagai berikut. F (x) = \sin x dan f (x+h) = \sin (x+h). Persamaan kuadrat adalah suatu persamaan yang memiliki derajat (orde) dua. Berdasarkan definisi dari turunan, maka bisa kita dapatkan beberapa rumus turunan trigonometri yaitu sebagai berikut: Kemudian nilai diskriminan d dari persamaan kuadrat gabungan itu dihitung.

Rumus Dan Contoh Soal Turunan Fungsi Trigonometri Lengkap
Rumus Dan Contoh Soal Turunan Fungsi Trigonometri Lengkap from caraharian.com
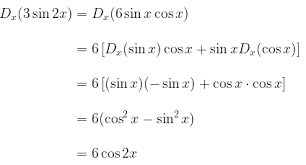
Turunan fungsi aljabar telah kalian kuasai, bagaimana dengan turunan fungsi trigonometri? Selengkapnya tentang rumus turunan trigonometri adalah sebagai berikut. Turunan fungsi trigonometri berbeda tetapi masih berkaitan dengan turunan fungsi aljabar. Contoh \frac { d } { d x } ( 2 ). Pada fungsi y = f(x), turunan dari variabel y terhadap variabel x dinotasikan dengan atau atau y' dan didefinisikan. Turunan dari sinus (sin x) fungsi. Ternyata, kurva dari fungsi kuadrat sering lho kita temui. Y = sin x→ y' = cos x.

Turunan f(x) = sin(x) ditulis f ′(a) = cos (a).

Ternyata, kurva dari fungsi kuadrat sering lho kita temui. Hasil turunan trigonometri merupakan fungsi trigonometri juga yang diperoleh dari definisi turunan (menggunakan limit). Turunan fungsi trigonometri berbeda tetapi masih berkaitan dengan turunan fungsi aljabar. Pembuktian rumus turunan fungsi trigonometri y=sin (x) rumus dasar turunan. Turunan adalah pengukuran terhadap bagaimana fungsi berubah seiring perubahan nilai yang dimasukan, atau secara umum turunan menunjukkan bagaimana suatu besaran berubah akibat perubahan besaran lainnya. Pada fungsi y = f(x), turunan dari variabel y terhadap variabel x dinotasikan dengan atau atau y' dan didefinisikan. Turunan trigonometri bentuk sin(px+q^n atau cos(px+q)^n perhatikan konsep yang mesti dipahami berikut ini: Latihan soal turunan fungsi trigonometri latihan 1 tentukan turunan dari y = sin x 2 Siapa yang merasa kalau trigonometri itu sulit? 11 persamaan trigonometri bentuk kuadrat dan identitas.pdf. Suatu identitas trigonometri bisa menggambarkan kebenarannya melalui tiga cara. Turunkan sin 2 nya, turunkan sin (2x + 3) nya, turunkan (2x + 3) nya. Turunan dari tan (x) ini dibahas secara interaktif untuk memahami perilaku garis singgung dekat asymptote vertikal.

11 persamaan trigonometri bentuk kuadrat dan identitas.pdf. Teorema turunan fungsi trigonometri berikut akan sangat berguna dalam menyelesaikan persoalan turunan di. Ternyata, kurva dari fungsi kuadrat sering lho kita temui. Soal juga dapat diunduh melalui tautan berikut: Soal nomor 1 turunkan fungsi berikut:

Rumus Turunan Trigonometri Pembahasan Lengkap Dan Contohnya
Rumus Turunan Trigonometri Pembahasan Lengkap Dan Contohnya from saintif.com
Identitas trigonometri merupakan kesamaan yang mengandung perbandingan trigonometri dari sebuah sudut. Pada fungsi y = f(x), turunan dari variabel y terhadap variabel x dinotasikan dengan atau atau y' dan didefinisikan. Turunan dari tan (x) ini dibahas secara interaktif untuk memahami perilaku garis singgung dekat asymptote vertikal. Selengkapnya tentang rumus turunan trigonometri adalah. Sekian yang dapat pintarnesia sampaikan tentang trigonometri mulai dari rumus trigonometri, tabel trigonometri, turunan dan contoh soal, semoga dapat membantu kalian dalam memahami materi trigonometri dan mengerjakan soal trigonometri. Pembuktian rumus turunan fungsi trigonometri y=sin (x) rumus dasar turunan. Y = sin x→ y' = cos x. Turunan fungsi aljabar telah kalian kuasai, bagaimana dengan turunan fungsi trigonometri?

Bücher für schule, studium & beruf.

Turunan trigonometri bentuk sin(px+q^n atau cos(px+q)^n perhatikan konsep yang mesti dipahami berikut ini: 11 persamaan trigonometri bentuk kuadrat dan identitas.pdf. Ternyata, kurva dari fungsi kuadrat sering lho kita temui. Suatu identitas trigonometri bisa menggambarkan kebenarannya melalui tiga cara. 2 jumlah dan perkalian trigonometri. Turunan fungsi trigonometri berbeda tetapi masih berkaitan dengan turunan fungsi aljabar. Kemudian nilai diskriminan d dari persamaan kuadrat gabungan itu dihitung. Soal nomor 1 turunkan fungsi berikut: Persamaan kuadrat yang biasanya kita temukan dalam bentuk ax$^2$ + bx + c = 0, bisa kita temukan dalam bentuk logaritma, bahkan dalam bentuk perbandingan trigonometri yaitu sinus (sin), cosinus (cos) dan tangen (tan). Turunan fungsi trigonometri yaitu proses matematis untuk menemukan turunan pada suatu fungsi trigonometri ataupun tingkat perubahan terkait dengan suatu variabelnya. Hasil turunan trigonometri merupakan fungsi trigonometri juga yang diperoleh dari definisi turunan (menggunakan limit). Turunan adalah pengukuran terhadap bagaimana fungsi berubah seiring perubahan nilai yang dimasukan, atau secara umum turunan menunjukkan bagaimana suatu besaran berubah akibat perubahan besaran lainnya. Untuk menentukan turunan trigonometri sama dengan konsep awal mencari turunan, namun disini langsung kita ambil.

Posting Komentar untuk "Turunan Trigonometri Kuadrat / Rumus Integral Trigonometri Dan Cara Menentukannya - Turunan dari sinus (sin x) fungsi."